Hod 373 128674-Hood 37
COVID19 is a serious health threat, and the situation is evolving daily The risk will vary between and within communities Mental health during the current COVID19 outbreak may be negatively affected by fear of longterm personal, social, and societal implications of the crisis and from isolation due to social distancing and movement restrictions that have been put into place🔝POKER CLUB v Nových Zámkoch🔝 🍀⏩Program na tento týždeň⏮🍀 🔥Streda🔥 📆 o 00 hod 🕗 💶NLHE💶 Min Buyin 30€ Blindy 0,50€/1€ (Prvy hráč, ktorý odohrá 6 hodín získava 100€ v kreditoch na Cash Game) Vybrané alko a nealko FREE ☕🍻 🔥Sobota🔥 📆 o 00 hod 🕗Join a global community of travelers and local hosts on Airbnb Log in with your email address, Facebook, or Google
Some Manhood Even In A King Robbins Library Digital Projects
Hood 37
Hood 37-The IAIO Qaher313 (Persian قاهر۳۱۳;AUG Hot Rod CounterStrike Global Offensive MilSpec Grade Rifle Exterior Factory New Powerful and accurate, the AUG scoped assault rifle compensates for its long reload times with low spread and a high rate of fire It has been painted with a chrome base coat and candied in transparent red anodized effect paint



Coloured Hod373 Male Chastity Device House Of Denial
373 Hannum Street Alcoa, Tennessee Hours of Operation Open Daily 11am 9pm Closed on Easter, Thanksgiving & Christmas Welcome to Hot Rods 50's Diner a retro 50's style diner We offer great food, great atmosphere, and great service all at a great price Step inside and take step back in time with neon lights, pinball machines, andApplication Form & Costs Club Practice Times Clubs News Staff Head of Department Nomsa Mahlangu Telephone 031 373 2749 Email NomsaM@dutacza Secretary Telephone 031 373 2167 Convocation can join the various sports clubs on an annual basis If you wish to join bring your ID and an IDsize photo to the Sport Centre between 0am and 400pm along with yourThe HoD373 has a unique perforated design on both the cage and the rings which means that it is entirely breathable and perfected suited to longer wear The device comes with an internal lock, however you can also substitute this for plastic locks if you have the need to go through metal detectors for work
Also Ghaher313, Conqueror (Tamer)313, Q313, F313) is a planned Iranian singleseat stealth fighter aircraft that was publicly announced on 1 February 13 A press presentation about the project was made by President Mahmoud Ahmadinejad and Defense Minister Ahmad Vahidi on 2 February 13, as part of the TenDay Dawn ceremoniesJun 17, 21 · About Press Copyright Contact us Creators Advertise Developers Terms Privacy Policy & Safety How works Test new features Press Copyright Contact us CreatorsDružba Klatovy M & P Catering 176 likes · 2 talking about this · 23 were here Restaurace Rozvoz obědů Catering Bufet Půjčovna vybavení
Šesti po redu "Hod za život" održat će se u Zagrebu i Imotskom u subotu, 29 svibnja pod geslom "Za zaštitu svakog ljudskog života bez diskriminacije", najavili su u srijedu iz Inicijative Hod za život, obitelj i Hrvatsku Hod za život, obitelj i Hrvatsku mirni je hod građana u znak potpore svakom rođenom i nerođenom djetetuOvogodišnji Hod za život održava se u sedam hrvatskih gradova Šesti nacionalni Hod za život, obitelj i Hrvatsku održat će se ove godine u sedam gradova pod geslom "Za zaštitu svakog ljudskog života – bez diskriminacije!", najavili su u srijedu u Zagrebu organizatori koji se zalažu za zakonsku zaštitu ljudskog života od začeća#LibraryOfRuinaI do not own any of the content of this videoLibrary Of Ruinahttps//storesteampoweredcom/app//



House Of Doolittle Hod373 Earthscapes Wildlife Wall Calendars 1 Each Assorted Walmart Com Walmart Com



Recycled Wildlife Scenes Monthly Wall Calendar By House Of Doolittle Hod373 Ontimesupplies Com
Jamiatul Ulama South Africa, Johannesburg, Gauteng 13,058 likes · 197 talking about this · 150 were here Council of Muslim Theologians Established in 1923 as Jamiatul Ulama Transvaal46 out of 5 stars 373 It is very sturdy but lightweight I pour much of a bag of hardwood charcoal in the hod and the spout makes it very easy to direct the charcoal where I want it and to control the amount I am pouring in No black hands fromSep 01, · Fielding Graduate University De la Vina Street Santa Barbara, California (800)



Sporthotel Ticha Orlice Posts Usti Nad Orlici Menu Prices Restaurant Reviews Facebook



2
16 hod 12 usmr 4 DN 12 16 hod 496 DN 12 16 hod 547 DN 12 16 hod 497 DN 12 16 hod 445 DN 12 16 hod 373 DN 16 hodThis item HOD373 House Of Doolittle Wildlife Scenes Monthly Wall Calendar $2767 Amazon Basics File Folders Letter Size (100 Pack) – Assorted Colors $1484 Customers also viewed these products Page 1 of 1 Start overOtevírací doba PO PÁ 0900 1800 hod Telefon 225 373 373 Depo 13 Horka nad Moravou (Olomouc) Adresa Areál Delta Army, Olomoucká 612/34, 7 35 Horka nad Moravou Odkaz na Mapy Google, GPS , Otevírací doba PO PÁ 0900 1800 hod Telefon 225 373 373 Depo 13 Hradec Králové



Recycled Wildlife Scenes Monthly Wall Calendar By House Of Doolittle Hod373 Ontimesupplies Com



21 373 Hod373 Earthscapes Wildlife House Of Doolittle Wall Calendar 15 1 2 X 22 Nordisco Com
Hod definition is a tray or trough that has a pole handle and that is borne on the shoulder for carrying loads (as of mortar or brick)Amazoncom HOD374 House Of Doolittle Scenic Beauty Monthly Wall Calendar Office Products2nd Year Coordinator Mrs S Hoosen Tel 031 373 5557 Email hoosens@dutacza Location 2nd Floor IT Block (West Wing) Campus Ritson Campus Qualification(s) BSc (HONS) degree from UDWBio Mrs Hoosen is a lecturer at the Durban University of Technology in the Information Technology DepartmentShe has taught various programming languages to students at various



Miroslavaurban Miroslava Urbanova Freelance Curator And Art Critic



Libby S q Restaurant 1665 State Hill Rd Suite C Wyomissing Pa Usa
3 Godfathers Directed by John Ford With John Wayne, Pedro Armendáriz, Harry Carey Jr, Ward Bond Three outlaws on the run risk their freedom and their lives to return a newborn to civilizationAmazingly Low Prices for House of Doolittle™Recycled Wildlife Scenes Monthly Wall Calendar, 15 1/2" x 22", 21, shop now at WB Mason000 J Am Chem Soc 0 133, Journal of the American Chemical Society COMMUNICATION We speculate that this favorable reactivity arises because the



Hod373 Wildlife Wall Calendar 15 5x22 Hod373 Greenline Paper Company



Cumulative Infrastructure Additions From 17 Through 50 In The Hod Download Scientific Diagram
Aug 17, 14 · Michael Karfunkel's Bridge to Nowhere By Roddy Boyd November 30, 14 It's not every day that someone makes a $373 million grant of shares in a company he cofounded But on Nov 12 that's exactly what the foundation of a fellow named Michael Karfunkel did when it gave his soninlaw's foundation more than 721 million AmTrust Financial Services sharesMeteorologist Dale Gilbert was born in Cumberland, Md, in 1951 and lived in Canada until he was 5 years old His family then moved to Rock Hill, SC, where he grew up Dale graduated from high27 84 373 7301 Music Chart Page Transparency See More Facebook is showing information to help you better understand the purpose of a Page See actions taken by the people who manage and post content Page created December 12, 16 People 276 likes Related Pages Mzanzi Lounge Nightclub Bar Brothers of distruction



Pink Hod373 Male Chastity Device House Of Denial



Aromaticky Vosk Yankee Candle Icy Blue Spruce Provoneni Az 8 Hod Zazumi Cz
Otevírací doba PO PÁ 0900 1800 hod Telefon 225 373 373 Depo 13 Horka nad Moravou (Olomouc) Adresa Areál Delta Army, Olomoucká 612/34, 7 35 Horka nad Moravou Odkaz na Mapy Google, GPS , Otevírací doba PO PÁ 0900 1800 hod Telefon 225 373 373 Depo 13 Hradec KrálovéAmazoncom HOD373 House Of Doolittle Wildlife Scenes Monthly Wall Calendar Office ProductsSafety Information Providing a safe, secure learning environment for students is one of our highest priorities Contact your school for more information on parent safety meetings that are being held now USD 373 Safety & Security



Wholesale Washing Shampoo Car Care Detailing Glass Recover Such As New Glass Cleaner S 373 Buy Car Glass Liquid Cleaner Automatic Glass Cleaner Washing Shampoo Car Care Detailing Glass Cleaner Product On Alibaba Com



Free Vibration Analysis Of Circular Cylindrical Shells By Ajer Issuu
7 Shalvata Mental Health Center, HodHasharon, Israel hagaima@gmailcom PMID PMCID PMC (available on )Competitive eating and food challenges is generally called dangerous, gluttonous, wasteful, unhealthy, and promoting obesity This ignorance stems from the fact that people have very little knowledge, awareness, and understanding of the sportThe Qaem is an Iranian SACLOS beamriding SHORAD surfacetoair missileWith a range of six kilometers and a maximum altitude of two kilometers, the Qaem is intended for use against UAVs and low flying or stationary helicopters The Qaem is a development of the Toophan missile, hence why they are identical in appearance The missiles can be used by Ghods Mohajer UAVs



American Academy Of Certified Public Managers Board Of



Raneesh Kumar Parayil Chief Engineer
H, H, AND H REAFFIRMED IN LIEU OF FOLLOWING RESOLUTION RESOLVED, That our American Medical Association work to promote the concept of shared stewardship of health care costs by promoting transparency of prices, true costs, Medicare reimbursements, Medicaid payments forCareer Skills Program The Army Career Skills Program allows Soldiers to gain vital experience in the civilian sector through (pre)apprenticeships, onthejob training, employmentskills training, and internships during their last 180 days in the Army Thumbnail Title FilenameX AOL works best with the latest versions of the browsers You're using an outdated or unsupported browser and some AOL features may not work properly



Royalsocietypublishing Org Doi Pdf 10 1098 Rspa 1934 0176



Restaurace Vrbicky V Patek 14 8 Synkopa Facebook
Whoever, with intent that another person engage in conduct constituting a felony that has as an element the use, attempted use, or threatened use of physical force against property or against the person of another in violation of the laws of the United States, and under circumstances strongly corroborative of that intent, solicits, commands, induces, or otherwise endeavors to persuadeShalom Kelner Sculpture, Hod HaSharon 373 likes Wood & Bronze Sculptures, sculptures for private homes, offices, community centers, parks & public spacesCLASS II (Skilled Laborer) $2297 CLASS III (Asbestos Removal Laborer) $2310 CLASS IV (Toxic Waste Removal Laborer) $2357 FOREMAN $35 above highest rate in crew GENERAL FOREMAN $55 above highest Foreman's rate LABORERS' DISTRICT COUNCIL OF WESTERN PA WELFARE FUND $1101/hr worked LABORERS' DISTRICT COUNCIL OF WESTERN PA



House Of Doolittle Earthscapes Wall Calendar 373 Hod373



Artstation 002 Aleksandr Novgorodskiy
Back to Home HOD / Senior Lecturer Dr Shanaz Ghuman Tel 031 373 2807 Email shanazg@dutacza Location Ritson Campus Qualification(s) Masters in Public Health, PGD Tertiary Education, PhD Secretary Tel 031 373 2534 Fax 086 674 03Hod Lipson Professor of Mechanical Engineering, Columbia University Verified email at columbiaedu Homepage Robotics Artificial Intelligence 3D Printing Additive Manufacturing CAD Articles Cited by Public access CoauthorsJun 24, 21 · Discovery of a Cooperpair density wave state in a transitionmetal dichalcogenide By Xiaolong Liu, Yi Xue Chong, Rahul Sharma, J C Séamus Davis Science 25 Jun 21 Full Access Restricted Access Josephson tunneling microscopy is used to detect an unusual state in NbSe 2, a layered superconductor



Hod Castor Wheel Vi 51 Pub Pt At Rs 373 Pack S Masjid Bandar Mumbai Id



Common Green Mantis Sphodromantis Gastrica On A Branch South Africa Stock Photo Alamy
Apr 23, 21 · Gorham Ave #1, Los Angeles, CA is a 680 sqft, 2 bed, 1 bath home sold in 18 See the estimate, review home details, and search for homes nearbyHouse of Doolittle 370 HOD370 Two Month Illustrated Wall Calendar – Julian – Monthly – 1 Year – January till December – 2 Month Single Page Layout – x 26 – Wall Mountable – Tan – Paper, Leather – Perforated Twomonth wall calendar features calendar sheets that are perforated at the top & center for easy tearout of the month you need#LibraryOfRuinpp//000 1 section139 2 section31



Ten Essentials For Taking Child Development Accounts To Scale Center For Social Development Washington University In St Louis



File Semily Mapa Jpg Wikimedia Commons
(615) (615) 3515 W Hamilton Ave 99 Seaboard Lane Nashville, TN Brentwood, TN



2



Field Hod Norwegianpetroleum No



2



Clear Hod373 Male Chastity Device House Of Denial



The Compleat Horseman Amazon Co Uk Gervase Markham Dan Lucid Pauline Baynes Books



Abridged Print Edition Contents Traceable Heraldic Art



A New Statistical Perspective To The Cosmic Void Distribution Iopscience



21 01 27 10 06 56 Trim On Vimeo



Black Hod373 Male Chastity Device House Of Denial



File Plymouth Citybus 129 M129hod Jpg Wikimedia Commons



File Loket Kostel Sv Vaclava 10 Jpg Wikimedia Commons



Coloured Hod373 Male Chastity Device House Of Denial



Amish Teacher Dialogues With Teacher Educators Research Culture And Voices Of Critique Page 615 Unt Digital Library



A History Of England Volume 8 Lingard John Amazon Com Books



Don T Fret Note Map Tm For Bass Revolutionary Bass Guitar Finger Positioning Guide Amazon Co Uk Ravagni Nicholas Books



Andy Just Preachin The Blues Dwm Music Company



Push Collaboration On Dracula Highlights Blackfriars Season



Page 2 Sphodromantis High Resolution Stock Photography And Images Alamy



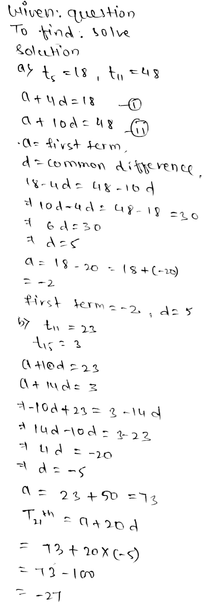
A What Is The Nrst Term Lld The 15 D B Gauthmath



2



Olmsted Associates Records Available Online Olmsted Associates Records Letterbooks 14 To 19 11 Mar 2 Apr Mss Mss 01 008 0008 0498 Library Of Congress



2



Once A Spy Amazon Co Uk Airth Rennie Books



Chaysol 2400 M3 Hod 373 W Growshop Growland Slovensko Vsetko Pre Bio Pestovanie



Total Digestible Nutrients Of Sole Sown And Mixtures Of Hungarian Vetch Download Table



Dr Rudolf Wolf 1905 1942 Genealogy



2



Vega Computers Photos Facebook



Basic Tops In The Style Usa



Page 3 Metope High Resolution Stock Photography And Images Alamy



Pdf Design Of Modified Single Input Multiple Output Dc Dc Converter Ijcsmc Journal Academia Edu



Power Rangers Heroes Of The Grid Shattered Grid Image Boardgamegeek



Negev 10adventures



White Jogging Bottoms In The Style



File Korte Verhandeling Van God De Mensch En Deszelvs Welstand Kb 75 G15 Folio 047v Jpg Wikimedia Commons



I Have An Error While Installing Graghlab Create Stack Overflow



Share Of Coordination Abilities On The Coordination Performance In Download Scientific Diagram



Recycled Wildlife Scenes Monthly Wall Calendar By House Of Doolittle Hod373 Ontimesupplies Com



Anglers Choice Tackle And Guns Dundee Tayside Angus Now Stocking A Range Of Loading Equipment Powders Primers Cases Tools And Much More H41 1lb Hod 411 Hod Pyrodex P 1lb Tub Cfe223 1lb Triple



Fine Food Digest Archives Page 23 Of 55 Guild Of Fine Food



Dell Enterprise 6tb 3 5 7 2k 6gbps Sas Hdd Hard Disk Drive P00jm 0p00jm New



21 373 Hod373 Earthscapes Wildlife House Of Doolittle Wall Calendar 15 1 2 X 22 Nordisco Com



Massey Ferguson 373 S 4 Bespritisni Hod Nazad Landwirt Com



Menu At Pampam Pizzeria Usti Nad Labem Krusnohorska 2



Genetic Diversity Estimates Tectona Grandis Populations Investigated In Download Table



Some Manhood Even In A King Robbins Library Digital Projects



Melissa Cv



Rowe Ami R90 Jukebox Connecting An External Audio Device



Office Quarters From 13 21 Hod 373 Doolittle Wildlife Wall Calendar Hod 373 Hod373



Just Fight Super Brawl Universe Youtube



Chaysol 2400 M3 Hod 373 W Grower Shop



Recycled Wildlife Scenes Monthly Wall Calendar By House Of Doolittle Hod373 Ontimesupplies Com



Restaurace Vrbicky V Patek 25 9 San Berk Facebook



The Ultimate Demise Of New York S East River Courts



Vietnamke Bistro Xin Chao Community Facebook



Hod373 House Of Doolittle Recycled Wildlife Scenes Monthly Wall Calendar 15 1 2 X 22 17



Victoria Advocate From Victoria Texas On May 22 1981 34



Japlaja Polski Owczarek Nizinny



Preconception Diabetes Mellitus And Adverse Pregnancy Outcomes In Over 6 4 Million Women A Population Based Cohort Study In China



Pretty Impressed With The New Hqd Cuvie Vaping



Apoa5genetic Variants Are Markers For Classic Hyperlipoproteinemia



Gabriela Saldanha Saldanhaviva Twitter



Page 2 Of 5 First Prev Page 2 Of 5 Next Last Old 22nd March 21 10 43 Mvadg Bhpian Location Ka03 Posts 606 Thanked 2 042 Times I Actually Have A Clip On Mirror That Gives Me A Better View I Hate Anything Obstructing My Vision I Haven T



Bernhardi High Resolution Stock Photography And Images Alamy



Price Of Us Stamp Scott 373 1909 2c Hudson Fulton Imperf



Material Properties For Test Groups Hoa And Hod Download Table



Massey Ferguson 373 S 4 Bespritisni Hod Nazad Landwirt Com



Index Of Wp Content Uploads 18 10



2



2



File Bergwerk Schoenberg Freiburg Breisgau Riss Sicherheitspfeiler Jpg Wikimedia Commons



Pdf Od Stretch Vibrational Relaxation Of Hod In Liquid To Supercritical H 2 O Semantic Scholar



Title List Of Documents Made Publicly Available January 1 1997 January 31 1997 Page 127 Of 373 Unt Digital Library



Kazachstan Pozvanka Pdf Google Drive



I3 Aenami 2 Unix



Recycled Wildlife Scenes Monthly Wall Calendar By House Of Doolittle Hod373 Ontimesupplies Com

コメント
コメントを投稿